
小児ALL(急性リンパ性白血病)の治療成績は大きく改善し、今日では生存率は概ね90%に達しています[1,2]。化学療法(抗がん剤)が奏功することが多いですが、化学療法の効きが悪かった場合や再発した場合、当科では造血細胞移植を行う方針としています。
造血細胞移植には、化学療法や放射線を用いた前処置を必要とします。ALLに対しては全身放射線照射と化学療法を組み合わせた「骨髄破壊的前処置(myeloablative conditioning: MAC)」が行われることが一般的ですが、当科では晩期合併症を回避するために、全身放射線照射を用いない「強度減弱型前処置(reduced-intensity conditioning: RIC)」を行っています。前処置の減弱により再発が増えるリスクを懸念されることもありますが、MACとRICで再発率、生存率ともに統計学的な有意差はありませんでした(図1)[3]。

上段(A)は生存率、下段(B)は再発率を示しています。横3つは移植時期の違いを分けたものです。いずれも、 骨髄破壊的前処置(MAC)と強度減弱前処置(RIC)で、統計的な差はありませんでした。なお第1寛解期とは、化学療法で寛解(顕微鏡下できれいな状態)になりそのまま移植した場合です。第2寛解期は一度再発したのちに化学療法で寛解して移植した場合です。進行期とは、より治癒しにくい状態での移植で、化学療法で寛解していない場合、あるいは再発2回目以降の移植です。参考文献[3]を改変して表示しました。
小児AML(急性骨髄性白血病)は、化学療法の強化により今日の生存率は概ね60-70%に達しています[1]。一方で化学療法の効きが良くなかったり、また再発する症例も存在し、そういった症例に対しては造血細胞移植を行う方針としています。
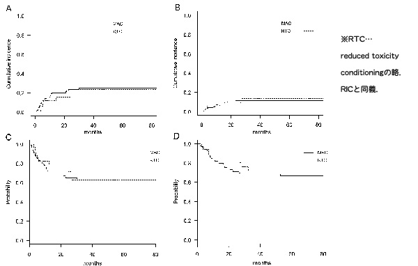
造血細胞移植には、化学療法や放射線を用いた前処置を必要とします。一般的に全身放射線照射と化学療法を組み合わせた「骨髄破壊的前処置(myeloablative conditioning: MAC)」が行われますが、当科では晩期合併症を回避するために、全身放射線照射を用いない「強度減弱型前処置(reduced-intensity conditioning: RIC)」を行っています。前処置の減弱により再発のリスクが上がることなく、MACとRICで再発率、生存率ともに同等でした(図1)[2]。

上段に再発率(A)と、再発とは無関係な死亡率(非再発死亡率;B)を示しています。下段は2種類の生存率です。骨髄破壊的前処置(MAC)と強度減弱前処置(RIC)で再発率、生存率ともに同等でした。なお無病生存率(C)とは再発なく生存できていること、全生存率(D)とは再発なしの生存と再発中の生存を合わせた割合をいいます。参考文献[2]を改変して表示しました。
小児医療部門
(内科系)
中央診療部門